Please select


For My Business

< R10m annual turnover

For My Business

> R10m annual turnover

Please select


For My Business

< R10m annual turnover

For My Business

> R10m annual turnover

Switch to FNB Business

Product shop

By Turnover

First Business Zero (R0 - R1 million p.a) Gold Business (R0 - R5 million p.a) Platinum Business (R5 million - R60 million p.a) Enterprise Business (R60 million - R150 million+ p.a)

Transact

Business Accounts Credit Cards Cash Solutions Merchant Services eWallet Pro Staffing Solutions ATM Solutions Ways to bank Fleet Services Guarantees

Savings and Investments

Save and Invest 3PIM (3rd Party Investment Manager)

Borrow

FNB Cash Advance Overdraft Loans Debtor Finance Leveraged Finance Private Equity Securities Based Lending Selective Invoice Discounting Asset Based Finance Alternative Energy Solutions Commercial Property Finance Fleet Services

Insure

Insurance

For my employees

Staffing Solutions Employee benefits

Forex + Trade

Foreign Exchange Imports and exports Structured Trade + Commodity Finance Business Global Account (CFC account)

Value Adds + Rewards

Connect my business the dti initiatives Enterprise and supplier development Business Hub eBucks Rewards for Business DocTrail™ CIPC Integration Channel Instant Accounting Solutions Instant Payroll Instant Cashflow Instant Invoicing SLOW 24/7 Business Desk FNB Business Fundaba nav» Marketplace Prepaid products Accounting integrations

Industry Expertise

Philanthropy Chinese Business Islamic Banking Agriculture Public Sector Education Healthcare Franchise Motor Dealership Tourism

Going Global

Global Commercial Banking

Financial Planning

Overview

Bank Better

KYC / FICA Debit order + recipient switching Electronic Alerts

Corporates + Public Sector

Corporate Public Sector

All savings + investment accounts


Cash deposits

Notice deposits Immediate access Access to a portion Fixed deposits

Share investing

Shares

Tax-free investing

Tax-free accounts

Funds/unit trusts

Ashburton specialised products

Invest abroad

Offshore products

I want to save for

Personal goals Child's education Emergencies Tax-free

Compare similar

Compare

Additional options

Show me all Help me chosse Find an advisor

Financial planning

Overview

Back

Intermediate investing

The power of compounding in wealth building

 

By Peet Serfontein

In the realm of personal finance and investment, compounding is a cornerstone concept, emblematic of the potential for wealth accumulation over time. Often lauded as the "eighth wonder of the world" by financial enthusiasts, its power lies in its simplicity and the profound impact it can have on an individual's financial future.

Understanding compound interest

The financial principle of compounding is predicated on the notion that the interest earned on an initial sum, or principal, is reinvested rather than paid out, thereby also earning interest in subsequent periods. This reinvestment creates a powerful cycle where each payment adds to the principal, leading to increasingly larger interest and thus, higher growth on the initial investment. Unlike simple interest, which is calculated only on the principal amount and can lead to linear growth, compound interest leverages the power of the "interest on interest" effect. This compounding mechanism acts much like a snowball rolling downhill, gathering mass (in this case, financial value) at an accelerating rate, and it's this characteristic that makes compound interest an indispensable ally in the quest for wealth-building and financial security.

The mathematical underpinning

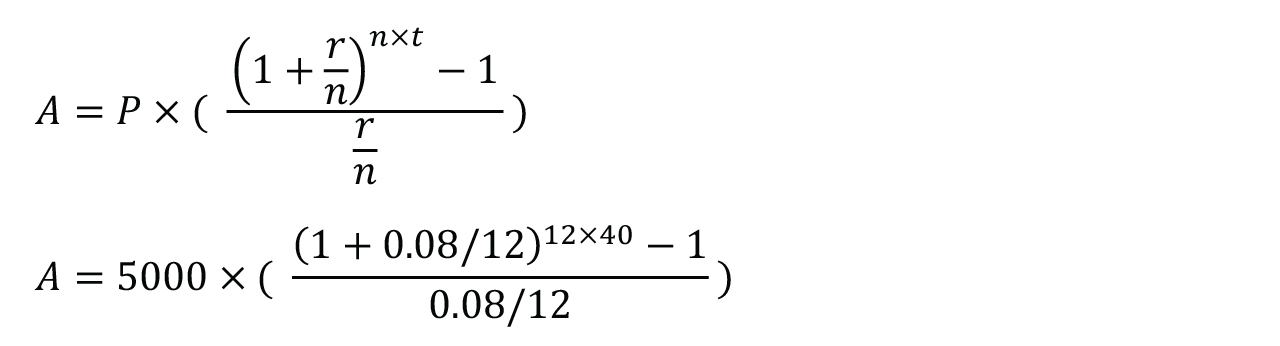
The formula for calculating compound interest is a testament to its exponential nature:

Where:
A is the future value of the investment/loan, including interest
P is the principal amount (initial investment)
r is the annual interest rate (decimal)
n is the number of times that interest is compounded per year
t is the time the money is invested or borrowed for, in years.

This formula illustrates how the frequency of compounding (n) and the time period (t) play crucial roles in enhancing the growth potential of an investment.

In practice

Sipho, a 25-year-old in South Africa, decides to start saving for retirement. Sipho can spare R5 000 every month to invest in a retirement account that offers an average annual interest rate of 8% compounded yearly. Let us calculate how much Sipho's investment will be worth when he retires at age 65, 40 years from now.

Therefore, Sipho's investment will be worth R1 295 282.59 after 40 years, if he continued to invest R5 000 monthly.

The impact of time

One of the most compelling aspects of compound interest is the profound impact that time has on investment growth. The longer the investment period, the greater the opportunity for the initial principal and the accumulated interest to grow. This dynamic is rooted in the exponential nature of compound interest, where each period of growth builds upon the last, exponentially increasing the investment's value over time. Thus, the effect of compound interest becomes more pronounced as the time horizon extends, underscoring the importance of starting to invest early. Even with smaller amounts, consistent contributions can lead to substantial wealth accumulation by retirement age. This principle highlights the power of patience and long-term planning in personal finance, where time itself becomes a critical asset in the quest for financial security and independence.

Frequency of compounding

The frequency with which interest is compounded can significantly affect the total amount of interest earned over time. Compounding can occur on various schedules, including annual, semi-annual, quarterly, monthly, or even daily. The more frequent the compounding, the more opportunities for the investment to grow, as each compounding period adds more interest to the principal amount.

The Rule of 72

A handy tool in the arsenal of investors is the Rule of 72, a simple formula that provides a rough estimate of the time it will take for an investment to double in value, given a fixed annual rate of interest. By dividing 72 by the annual interest rate, one can estimate the number of years required for doubling.

Imagine you have invested in a vehicle that offers a fixed annual interest rate of 6%. You want to know approximately how many years it will take for your investment to double.

In practice:

  • Interest Rate: 6%
  • Rule of 72 Formula: 72 / Interest Rate % = Years to Double = 72 / 6 = 12 years

So, with a 6% interest rate, it will take roughly 12 years for your investment to double in value.

Harnessing the power of compound interest

  • Start early: The foundational principle of leveraging compound interest is to begin investing as soon as possible. An early start can be the difference between modest savings and substantial wealth over time, as the impact of compound interest grows exponentially with each passing year.
  • Regular contributions: Consistently contributing to your investments is akin to fuelling a fire; it keeps the growth momentum alive. Regular contributions, no matter how small, increase the principal amount, which in turn, increases the base on which interest is calculated. This cycle of contributing and compounding ensures that investment growth is not only maintained but accelerated.
  • Reinvest dividends: Many investments generate earnings in the form of dividends, which if reinvested, can significantly bolster the compounding effect. By choosing to reinvest dividends instead of taking them out as cash, you effectively increase your investment's principal amount. This increased principal then generates more interest, creating a self-sustaining cycle of growth that can significantly enhance the value of your investment over time.
  • Choose investments wisely: The selection of investment vehicles plays a critical role in maximising the potential of compound interest. Investments that offer competitive returns and are aligned with favourable compounding schedules can dramatically increase the rate of return on your money. It is essential to research and select investments that not only fit your risk tolerance and investment horizon but also offer the best conditions for compound interest to work its magic.
  • Leverage tax-advantaged accounts: Utilising tax-advantaged accounts such as retirement savings plans can further enhance the power of compound interest. These accounts often offer tax benefits either at the time of contribution or withdrawal, allowing more of your money to grow through compounding.

Continual portfolio management

It is important to regularly repeat this process to reassess the ESG scores and financial health of your holdings, ensuring they continue to align with your values and investment criteria. It will also be of value to periodically review a company's technical indicators and chart patterns to identify potential "sell" signals or opportunities to increase a position in alignment with market trends.

This integrated approach not only helps you build a portfolio that reflects your values but also enhances your ability to enter and exit investments in a manner that aims to optimise returns. It represents a holistic investment strategy that balances ethical considerations with financial objectives, leveraging diverse analytical methods for a well-rounded portfolio.

How would you like to log in?

Physical address

4 Merchant Place
Corner Fredman Drive and Rivonia Road
Sandton
2196

Postal address

PO Box 650149
Benmore
2010